Biegelinien

K

Die Biegelinie beschreibt die Formänderung eines Balkens oder Blechs unter Belastung. Einfach gesagt: Sie gibt an, wie stark sich ein Bauteil beim Biegen durchbiegt. In der technischen Mechanik, im Maschinenbau und in der Umformtechnik ist die Biegelinie ein zentrales Berechnungs- und Visualisierungsinstrument. Konstrukteure, Fertigungsingenieure und Qualitätsprüfer nutzen sie, um die Belastbarkeit und Verformung von Bauteilen vorab zu bestimmen.

Gerade in der Fertigung von Biegeteilen oder bei Umformprozessen spielt die Kenntnis der Biegelinie eine wichtige Rolle. Sie beeinflusst die Maßhaltigkeit, die Lebensdauer und die Funktion eines Produkts.

Grundlagen der Biegelinie

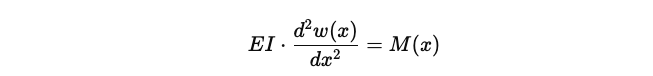
Die Biegelinie wird mit Hilfe der Biegeliniengleichung beschrieben. Diese basiert auf der Balkentheorie nach Euler-Bernoulli. Der Zusammenhang lautet:

Balkentheorie nach Euler-Bernoulli
  • E: Elastizitätsmodul des Werkstoffs

  • III: Flächenträgheitsmoment des Querschnitts

  • M(x)M(x)M(x): Biegemoment in Abhängigkeit von der Stelle xxx

  • w(x)w(x)w(x): Durchbiegung an der Stelle xxx

Aus dieser Differenzialgleichung ergibt sich die Biegelinie, die den Verlauf der Durchbiegung darstellt.

Einflussfaktoren auf die Biegelinie

  • Werkstoff: Stahl, Aluminium, Kupfer, Verbundmaterialien oder Isolierstoffe wie FR4 und Aramidpapier haben unterschiedliche Elastizitätsmoduln.

  • Querschnittsgeometrie: Ein I-Träger verhält sich anders als ein Flachblech, da das Flächenträgheitsmoment entscheidend ist.

  • Belastung: Punktlast, Linienlast oder Streckenlast führen zu unterschiedlichen Biegelinien.

  • Auflagerung: Frei aufliegend, einseitig eingespannt oder beidseitig gelagert verändert den Verlauf.

Anwendung in Konstruktion und Fertigung

  1. Konstruktion: Die Biegelinie wird genutzt, um Durchbiegungen zu berechnen und sicherzustellen, dass Bauteile ihre Funktion behalten.

  2. Fertigung: Beim Biegen von Blechen (Umformtechnik) hilft die Biegelinie, Rückfederung und Maßabweichungen zu berücksichtigen.

  3. Qualitätssicherung: In Prüfverfahren wird die tatsächliche Biegelinie mit der berechneten verglichen, um Materialfehler oder Abweichungen zu erkennen.

  4. Elektroindustrie: Bei Isolierbauteilen wie GFK-Platten oder Aramidpapier wird die Biegelinie genutzt, um mechanische Belastbarkeit in elektrischen Geräten sicherzustellen.

Zusammenhang mit Normen und Toleranzen

Die Biegelinie hat direkten Bezug zu Fertigungstoleranzen (z. B. DIN ISO 2768). Bei Biegeteilen sind sowohl Maßtoleranzen als auch Formtoleranzen zu berücksichtigen. In der Praxis bedeutet das: Ein Biegeteil muss trotz Durchbiegung innerhalb der zulässigen Toleranzen bleiben.

Praxisbeispiele

  • Biegeteile: Bei der Herstellung von Stanz- und Biegeteilen muss die Biegelinie beachtet werden, um die korrekte Endform zu erreichen.

  • Maschinenbau: Trägerkonstruktionen wie Brücken oder Gestelle werden mit Hilfe der Biegelinie dimensioniert.

  • Automotive: Karosserieteile aus Blech oder Aluminium werden nach Berechnung der Biegelinie gefertigt, um Crashsicherheit und Maßhaltigkeit zu gewährleisten.

  • Elektrotechnik: Isolierteile wie Leiterplatten (FR4) oder Formteile aus Duroplasten müssen Biegebelastungen standhalten, ohne die elektrische Funktion zu verlieren.

GOBA Fazit

Die Biegelinie ist ein zentrales Werkzeug der technischen Mechanik und Fertigung. Sie ermöglicht die Berechnung, Prognose und Kontrolle von Durchbiegungen und trägt wesentlich zur Maßhaltigkeit und Funktionssicherheit von Bauteilen bei. In der Umformtechnik hilft sie, Rückfederungseffekte zu kompensieren, während sie im Maschinen- und Elektroanlagenbau für die Auslegung von Bauteilen unverzichtbar ist. Wer die Biegelinie versteht und korrekt anwendet, reduziert Fertigungsfehler, senkt Kosten und erhöht die Betriebssicherheit.


Kontaktieren Sie uns gerne, um die optimale Lösung für Ihre Anforderungen zu finden.

*Link zum Datenschutzhinweis

FAQ zu Biegelinien

  • Werkstoff, Querschnittsgeometrie, Belastungsart und Auflagerungsbedingungen bestimmen die Form und Größe der Biegelinie.

  • Sie hilft, Rückfederungseffekte und Maßabweichungen vorherzusagen, die besonders bei Biegeteilen relevant sind.

  • DIN ISO 2768 für Maß- und Formtoleranzen sowie DIN 8580 für Fertigungsverfahren sind eng mit der Anwendung der Biegelinie verbunden.

  • In der Umformtechnik, im Maschinenbau, in der Automobilproduktion und bei der Auslegung elektrischer Isolierteile.

Zurück
Zurück

Kiss-Cut

Weiter
Weiter

Converting-Verfahren